令和元年度下期
問題26
- 次の空欄(A)、(B)及び(C)に当てはまる組合せとして、正しいものは。
- イ.(A)0.4(B)C種(C)10
- ロ.(A)0.4(B)C種(C)500
- ハ.(A)0.2(B)D種(C)100
- ニ.(A)0.4(B)D種(C)500
使用電圧が300Vを超える低圧の電路の電線相互間及び電路と大地との間の絶縁抵抗は区切ることのできる電路ごとに[ (A) ][MΩ]以上でなければならない。また、当該電路に施設機械器具の金属製の台及び外箱には[ B ]接地工事を施し、接地抵抗値は[ (C) ][Ω]以下に施設することが必要である。
ただし、当該電路に施設された地絡遮断装置の動作時間は0.5秒を超えるものとする。
【解説】

| 種類 | 接地抵抗値 | 接地線の太さ | 地絡を生じた場合に0.5秒以内に 自動的に電路を遮断する装置を施設する場合 |
|---|---|---|---|
| C種接地工事 | 10Ω | 1.6mm以上 | 500Ω以下 |
| D種接地工事 | 100Ω | 1.6mm以上 | 500Ω以下 |
になりますのでイになります。
【答え・イ】
問題27
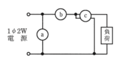
- 図の交流回路は、負荷の電圧、電流、電力を測定する回路である。図中にa,b,cで示す計器の組合せとして、正しいものは。
- イ.a 電流計 b 電圧計 c 電力計
- ロ.a 電力計 b 電流計 c 電圧計
- ハ.a 電圧計 b 電力計 c 電流計
- ニ.a 電圧計 b 電流計 c 電力計

【解説】
電圧計は負荷と並列に、電流計は負荷と直列に、電力計は負荷と並列・直列に接続します。
従ってニが正しい。
【答え・ニ】
問題28
- 電気工事士法において、一般用電気工事工作物に工事又は作業で電気工事士でなければ従事できないものは、
- イ.インターホーンの施設に使用する小型変圧器(二次電圧が36V以下)の二次側の配線をする。
- ロ.電線を支持する柱、腕木を設置する。
- ハ.電圧600V以下で使用する電力量計を取り付ける。
- ニ.電線管とボックスを接続する。
【解説】
電線管とボックスを接続する作業は電気工事士ではなければできません。
軽微な作業は電気工事士でなくても作業できます。
イ、ロ、ハは軽妙な作業に分類されています。
【答え・ニ】
問題29
- 電気用品安全法における電気用品に関する記述として、誤っているものは。
- イ.電気用品の製造又は輸入の事業を行う者は、電気用品安全法に規定する義務を履行したときに、経済産業省令で定める方式による表示を付すことができる。
- ロ.特定電気用品は構造上又は使用方法その他の使用状況からみて特に危険又は障害の発生するおそれが多い電気用品であって、政令で定めるものである。

- ニ.電気工事士は、電気用品安全法に規定する表示の付されていない電気用品を電気工作物の設置又は変更の工事に使用してはならない。
【解説】

または表示面積が小さい場合などは、<PS>Eの記号を表示されます。
【答え・ハ】
問題30
- 「電気設備に関する技術基準を定める省令」における電圧の低圧区分の組合せで、正しいものは。
- イ.交流600V以下、直流750V以下
- ロ.交流600V以下、直流700V以下
- ハ.交流600V以下、直流600V以下
- ニ.交流750V以下、直流600V以下
【解説】
交流の電圧区分は、低圧は600V以下、高圧は600Vを超え以下7000V以下となる。
| 種別 | 交流 | 直流 |
|---|---|---|
| 低圧 | 600V以下 | 750V以下 |
| 高圧 | 600V超~7千V以下 | 750V超~7千V以下 |
| 特別高圧 | 7千Vを超えるもの | |
従ってイが正しい。
【答え・イ】
Sponsored link





