令和4年午前過去問題解説
問題11
同容量の単相変圧器2台をV結線し、三相負荷に電力を供給する場合の変圧器1台当たりの最大利用率は。

【解説】
この問題は知識問題としてそのまま覚えておいた方がいいと思います。
- V結線の利用率は√3/2倍になります。
- V結線の三相出力容量は、単相変圧器1台の√3倍になります。
実際利用率を計算すると以下のようになります。
利用率=V結線の出力[V・A]/設備容量(単相変圧器2台の容量)[V・A]
=√3P/2P = √3/2
【答え・ハ】
問題12
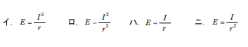
床面上r[m]の高さに、光度I[cd]の点光源がある。光源直下の床面照度E[lx]を示す式は。
【解説】
照度は光度I[cd]に比例し距離の2乗に反比例します。
つまり以下のようになります。
E=I/r2
つまり二になります。
【答え・二】
問題13
- 蓄電池に関する記述として、正しいものは。
- イ.鉛蓄電池の電解液は、希硫酸である。
- ロ.アルカリ蓄電池の放電の程度を知るためには、電解液の比重を測定する。
- ハ.アルカリ蓄電池は、過放電すると充電が不可能になる。
- ニ.単一セルの起電力は、鉛蓄電池よりアルカリ蓄電池の方が高い。
【解説】
この問題も知識問題です。
正しいのはイです。
鉛蓄電池の電解液は、希硫酸である。
ロはアルカリ蓄電池は、放電、充電による比重の変化はありませんので電解液の比重を測定する必要はありません。
ハはアルカリ蓄電池は、過放電しても充電はできます。
二ですが単一セルの起電力は、鉛蓄電池は2Vでアルカリ蓄電池は1.2Vです。
【答え・イ】
問題14
- 写真に示す照明器具の主要な使用場所は。
- イ.極低温となる環境の場所
- ロ.物が接触し損壊するおそれのある場所
- ハ.海岸付近の塩害の影響を受ける場所
- ニ.可燃性のガスが滞留するおそれのある場所

【解説】
この写真はなかなか見ることがないと思います。
写真は防爆型のLEDを使用した照明器具です。
防爆型とは爆発や燃焼のおそれのある場所に設置する照明器具です。
そう考えると最も適当なものは二の可燃性のガスが滞留するおそれのある場所
になると思います。
防爆型照明は、爆発性ガスや可燃性粉じんが存在する環境での火花・高熱による着火を防ぐために設計された専用照明です。 通常の照明器具では火災や爆発のリスクがあるため、設置場所によっては法令や安全基準により、防爆照明の使用が義務づけられています。
【答え・二】
問題15
- 写真に示す機器の矢印部分の名称は。
- イ.熱動継電器
- ロ.電磁接触器
- ハ.配線用遮断器
- ニ.限時継電器

【解説】
この器具はロの電磁接触器です。
電磁接触器の下にあるものがイの熱動継電器でロとイを組み合わせて電磁開閉器といいます。
電磁開閉器でマグネットスイッチと言われているものです。
【答え・ロ】
Sponsored link





