令和3年度午後
問題6
- 図のような、三相3線式配電線路で、受電端電圧が6700V、負荷電流が20A、深夜で軽負荷のため力率が0.9(進み力率)のとき、配電線路の送電端の線間電圧[V]は。
- イ.6700
- ロ.6710
- ハ.6800
- ニ.6900
ただし、配電線路の抵抗は1線当たり0.8Ω、リアクタンスは1.0Ωであるとする。 なお、cosΘ=0.9のときsinΘ=0.436であるとし、適切な近似式を用いるものとする。

【解説】
問題では力率0.9(進み力率)とあるので進み力率です。
進み力率の場合の電圧降下は
V=√3I(RcosΘ-XsinΘ)
より
√3x20x(0.8 x 0.9-1.0 x 0.436)=9.8
で約10Vになります。
受電端電圧が6700Vなので
6700 + 10 =6710V
【答え・ロ】
問題7
- 図のように三相電源から、三相負荷(定格電圧200V、定格消費電力20kW、遅れ力率0.8)に電気を供給している配電線路がある。配電線路の電力損失を最小とするために必要なコンデンサの容量[kvar]の値は。
- イ.10
- ロ.15
- ハ.20
- ニ.25
ただし、電源電圧及び負荷インピーダンスは一定とし、配電線路の抵抗は1線当たり0.1Ωで、配電線路のリアクタンスは無視できるものとする。

【解説】
この問題では配電線路の電力損失を最小とするために必要なコンデンサの容量を求めるには無効電力を求めてやればよいことになります。

【答え・ロ】
問題8
- 線間電圧V[kV]の三相配電系統において、受電点からみた電源側の百分率インピーダンスがZ[%](基準容量:10MV・A)であった。受電点における三相短絡電流[kA]を示す式は。




【解説】

【答え・ハ】
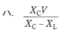
問題9
- 図のように、直列リアクトルを設けた高圧進相コンデンサがある。この回路の無効電力(設備容量)[var]を示す式は。




ただし、XL < XCとする。

【解説】
問題は以下のようになりますので

X=XC-XL[Ω]
になります。
電線に流れる電流I[A}は、

Q=3I2Xより

【答え・イ】
問題10
- 三相かご形誘導電動機の始動方法として、用いられないものは。
- イ.全電圧始動(直入れ)
- ロ.スターデルタ始動
- ハ.リアクトル始動
- ニ.二次抵抗始動
【解説】
ニの二次抵抗始動は巻線形誘導電動機の始動方法です。
【答え・ニ】
Sponsored link





